Учка.РФ (логотип)
На главную | Математика | Русский язык | Физика | Биология | Химия | География | Английский язык | Обществознание | История | Информатика | Литература

ГлавнаяБиологияЕГЭ по биологииВариант 4
#3604

ЕГЭ по биологии

Вариант 4

Часть 1


1

Рассмотрите таблицу «Биология – комплексная наука» и заполните пустую ячейку, вписав соответствующий термин.

Разделы биологии Объекты изучения
Анатомия Строение внутренних органов организма
? Ископаемые переходные формы организмов

Ответ:


2

Экспериментатор поместил зерновки пшеницы в сушильный шкаф. Как при этом изменились концентрация солей и количество воды в клетках семян?

Для каждой величины определите соответствующий характер её изменения.

Ответ:

Концентрация солей:

Количество воды:


3

В соматической клетке тела рыбы 56 хромосом. Сколько хромосом имеет сперматозоид рыбы? В ответе запишите только число хромосом.

Ответ:


4

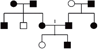
По изображённой на рисунке родословной определите вероятность (в процентах) рождения в браке, отмеченном цифрой 1, ребёнка с явно проявившимся признаком при полном его доминировании. В ответе запишите только соответствующее число.

Ответ:

%

Рассмотрите рисунок и выполните задания 5 и 6.



5

Каким номером на рисунке обозначена фаза мейоза, нарушение механизмов которой может привести к появлению трисомии у потомков?

Ответ:


6

Установите соответствие между признаками и фазами мейоза, обозначенными цифрами на схеме первого деления мейоза: к каждой позиции, данной в первом столбце, подберите соответствующую позицию из второго столбца.

ПРИЗНАКИ

А) Формируется два гаплоидных ядра.
Б) Происходит кроссинговер.
В) Начинает формироваться веретено деления.
Г) В экваториальной плоскости выстраиваются биваленты.
Д) Происходит конъюгация хромосом.
Е) Укорачиваются хромосомные нити веретена деления.

ФАЗЫ МЕЙОЗА

1) 1
2) 2
3) 3
4) 4

Запишите в таблицу выбранные цифры под соответствующими буквами.

Ответ:

АБВГДЕ

7

Какие из приведённых признаков относятся к изображённой на рисунке клетке?

Выберите три верных ответа.

Ответ:

1) наличие хлоропластов
2) наличие гликокаликса
3) способность к автотрофному питанию
4) способность к фагоцитозу
5) способность к биосинтезу белка
6) поддержание формы только с помощью цитоскелета

8

Установите последовательность действий исследователя при дигибридном скрещивании растений. Запишите в поле ответа соответствующую последовательность цифр.

1) получение единообразных гибридов первого поколения
2) подбор родительских пар двух чистых линий с двумя парами альтернативных признаков
3) получение четырёх фенотипических групп потомков
4) скрещивание гибридов первого поколения между собой
5) скрещивание гомозиготных особей, обладающих двумя парами альтернативных признаков

Ответ:


Рассмотрите рисунки и выполните задания 9 и 10.


1

2

3

4

5

6

9

На рисунке под каким номером изображено вторичноводное млекопитающее?

Ответ:


10

Установите соответствие между характеристиками и животными, изображёнными на рисунках 1, 2, 3: к каждой позиции, данной в первом столбце, подберите соответствующую позицию из второго столбца.

ХАРАКТЕРИСТИКИ

А) голая кожа без волос и чешуи
Б) ведущий отдел головного мозга – средний мозг
В) постоянная задержка дыхания как физиологичная норма
Г) бинокулярное цветное зрение
Д) наличие боковой линии
Е) наименьшее количество различий в ДНК с геномом человека

ЖИВОТНЫЕ

1) 1
2) 2
3) 3

Запишите в таблицу выбранные цифры под соответствующими буквами.

Ответ:

АБВГДЕ

11

Какие утверждения о реакции растения на водный режим являются верными?

Выберите три верных ответа.

Ответ:

1) При повышении температуры с 20 до 30 градусов Цельсия интенсивность транспирации увеличивается.
2) При потере тургора устьица открываются.
3) Растения степей поглощают водяной пар при открывании устьиц.
4) С уменьшением влажности почвы транспирация уменьшается.
5) Чем меньше относительная влажность воздуха, тем выше интенсивность транспирации.
6) Чем концентрированнее клеточный сок, тем сильнее транспирация.

12

Установите последовательность систематических групп растений, начиная с самого высокого ранга. Запишите в поле ответа соответствующую последовательность цифр.

1) Мятлик луговой
2) Мятлик
3) Покрытосеменные
4) Однодольные
5) Растения
6) Злаковые

Ответ:


Рассмотрите рисунок и выполните задания 13 и 14.


13

Каким номером на рисунке обозначен мочеточник?

Ответ:


14

Установите соответствие между характеристиками и структурами почки человека, обозначенными на рисунке выше цифрами 1, 2, 3: к каждой позиции, данной в первом столбце, подберите соответствующую позицию из второго столбца.

ХАРАКТЕРИСТИКИ

А) собирает мочу из пирамидок
Б) состоит из пирамид
В) содержит капсулы нефронов
Г) является полостью
Д) направляет мочу в мочеточник
Е) содержит капиллярные клубочки

СТРУКТУРЫ ПОЧКИ

1) 1
2) 2
3) 3

Запишите в таблицу выбранные цифры под соответствующими буквами.

Ответ:

АБВГДЕ

15

Выберите три верно обозначенные подписи к рисунку, на котором изображено строение глаза человека.

Ответ:

1) сетчатка
2) сосудистая оболочка
3) склера
4) слепое пятно
5) блуждающий нерв
6) жёлтое пятно

16

Установите последовательность процессов, происходящих в пищеварительной системе человека при переваривании пищи. Запишите в поле ответа соответствующую последовательность цифр.

1) поступление жёлчи в двенадцатиперстную кишку
2) расщепление белков под действием пепсина
3) начало расщепления крахмала
4) всасывание жиров в лимфатический капилляр
5) поступление непереваренных остатков пищи в прямую кишку

Ответ:


17

Прочитайте текст. Выберите три предложения, в которых даны описания признаков, которые можно использовать при описании морфологических признаков вида Сосна обыкновенная.

Ответ:

(1)Сосна обыкновенная – светолюбивое растение. (2)Проросток сосны имеет пять–девять фотосинтезирующих семядолей. (3)Сосна способна развиваться на любой почве. (4)Зелёные листья сосны игловидные и расположены по два на укороченных побегах. (5)Удлинённые побеги расположены мутовками, которые образуются один раз в год. (6)Пыльца с мужских шишек переносится ветром и попадает на женские шишки, где происходит оплодотворение.


18

Выберите три верных ответа.

Устойчивость экосистемы влажного экваториального леса определяется

Ответ:

1) большим видовым разнообразием
2) отсутствием редуцентов
3) высокой численностью хищников
4) сложными пищевыми сетями
5) колебанием численности популяций
6) сбалансированным круговоротом веществ

19

Установите соответствие между объектами изучения и разделами биологии: к каждой позиции, данной в первом столбце, подберите соответствующую позицию из второго столбца.

ОБЪЕКТЫ ИЗУЧЕНИЯ

А) жаберные дуги в онтогенезе человека
Б) останки зверозубых ящеров
В) филогенетический ряд лошади
Г) строение зародышей у классов позвоночных
Д) многообразие флоры каменноугольного периода

РАЗДЕЛЫ БИОЛОГИИ

1) палеонтология
2) эмбриология

Запишите в таблицу выбранные цифры под соответствующими буквами.

Ответ:

АБВГД

20

Проанализируйте таблицу «Виды естественного отбора». Заполните пустые ячейки таблицы, используя элементы, приведённые в списке. Для каждой ячейки, обозначенной буквой, выберите соответствующий элемент из предложенного списка.

Вид отбора Характеристика Пример
________(А) Давлению подвергаются особи со средним значением признака Образование двух рас погремка с разными сроками цветения на сенокосных лугах
Движущий ________(Б) Постепенное увеличение длины шеи у жирафов в ряду поколений
Стабили-зирующий Давлению подвергаются особи с проявлением признака, отклоняющимся от среднего значения ________(В)

Список элементов:

1) появление белой крысы в популяции серых крыс
2) формирование различных форм клюва у галапагосских вьюрков
3) формирование определённой толщины панциря у черепах
4) разрывающий
5) элиминирующий
6) давлению подвергаются особи с одним из крайних проявлений признака
7) давлению подвергаются самые крупные особи
8) под наибольшим давлением оказываются особи с самым выраженным и средним проявлением признака

Запишите в таблицу выбранные цифры под соответствующими буквами.

Ответ:

АБВ

21

Проанализируйте диаграмму «Содержание Т-лимфоцитов-киллеров в тимусе здоровых и больных раком мышей при употреблении вещества Х». В эксперименте использовали мышей, имеющих онкологическое заболевание, в качестве контроля были взяты здоровые мыши. В каждой группе половину мышей поили чистой водой, а другую – водой с добавлением вещества Х. Через 14 дней брали на анализ тимус (вилочковую железу).

Выберите все утверждения, которые можно сформулировать на основании анализа представленных данных.

Ответ:

1) Вещество Х способствует увеличению содержания Т-лимфоцитов киллеров в тимусе.
2) Наличие опухоли приводит к незначительному снижению содержания Т-лимфоцитов киллеров в тимусе.
3) Вещество Х ослабляет организм.
4) Тимус увеличивается из-за употребления вещества Х.
5) Вода стимулирует иммунный ответ организма.

Часть 2


Прочитайте описание эксперимента и выполните задания 22 и 23.

Экспериментатор исследовал эффективность двух вакцин против туберкулёза – заболевания, вызываемого спорообразующими туберкулёзными палочками. Одной группе мышей вводили вакцину 1, другой – вакцину 2. Затем обе группы мышей заражали туберкулёзными палочками и через несколько недель подсчитывали их количество в лёгких. Результаты представлены на диаграмме.


22

Сформулируйте две нулевые гипотезы[*] для данного эксперимента. Объясните, почему в эксперименте необходимо использовать мышей одной линии. Почему результаты эксперимента могут быть недостоверными, если известно, что экспериментальные группы мышей содержались в помещениях с различной температурой?

Ответ:

Нулевые гипотезы:

1) вакцина 1 более эффективна, чем вакцина 2
2) вакцина 2 более эффективна, чем вакцина 1
3) количество туберкулёзных палочек не зависит от вакцинации
4) количество туберкулёзных палочек не зависит от типа вводимой вакцины
5) температура влияет на эффективность вакцинации

Почему в эксперименте необходимо использовать мышей одной линии:

Почему результаты эксперимента могут быть недостоверными (выберите два верных ответа):

1) температура влияет на активность туберкулёзных палочек
2) температура влияет на метаболизм мышей
3) при разных температурах мыши потребляют разное количество пищи
4) температура может влиять на скорость размножения бактерий
5) различная температура может оказать влияние на иммунный ответ у мышей
6) зависимость между количеством туберкулёзных палочек в лёгких и вакцинацией (типом введённой вакцины) не удастся установить в явном виде

23

По результатам эксперимента оцените и сравните эффективность исследованных вакцин против туберкулёза. Ответ поясните. Туберкулёзные палочки проникают в лёгочные макрофаги и приводят к их гибели с образованием очагов распадающейся ткани. Затем эти участки превращаются в гранулёмы – капсулы с макрофагами и соединительной тканью, в которых продолжают жить бактерии. Как эти процессы должны отразиться на физиологии здорового лёгкого?

Ответ:

Эффективность исследованных вакцин:

1) только вакцина 1 эффективна против туберкулёза
2) только вакцина 2 эффективна против туберкулёза
3) вакцина 1 эффективнее, чем вакцина 2
4) вакцина 2 эффективнее, чем вакцина 1
5) обе исследуемые вакцины эффективны против туберкулёза
6) ни одна из вакцин не показала эффективности

Как эти процессы должны отразиться на физиологии здорового лёгкого:

1) часть альвеол (ацинусов) разрушается (замещается соединительной тканью)
2) увеличивается продукция лёгочного сурфактанта
3) эффективность газообмена в лёгком снизится (снизится жизненная ёмкость лёгких)
4) усиливается кровоснабжение поражённых участков
5) активируется мукоцилиарный клиренс для удаления бактерий

24

На рисунках изображены скелет с отпечатком перьев и реконструкция археоптерикса, обитавшего на Земле 150–147 млн лет назад.

Используя фрагмент «Геохронологической таблицы», определите, в какой эре и каком периоде обитало это животное. Археоптерикса иногда относят к птицам, но он имел некоторые признаки, несвойственные современным птицам. Перечислите те из них, которые видны на рисунках (не менее трёх признаков). Для организмов какого современного класса характерны перечисленные признаки?

Геохронологическая таблица*

Эра Период
Название и
продолжительность,
млн лет
Возраст (начало эры),
млн лет
Название и
продолжительность,
млн лет
Кайнозойская, 66 66 Четвертичный, 2,58
Неоген, 20,45
Палеоген, 43
Мезозойская, 186 252 Меловой, 79
Юрский, 56
Триасовый, 51
Палеозойская, 289 541 Пермский, 47
Каменноугольный, 60
Девонский, 60
Силурийский, 25
Ордовикский, 41
Кембрийский, 56

Ответ:

Эра:

Период:

От современных птиц археоптерикса отличает:

1) наличие чешуйчатого покрова на части тела
2) массивный череп без клюва
3) наличие челюстей с зубами
4) наличие перьев только на хвосте
5) наличие длинного хвоста из несросшихся позвонков
6) наличие развитых пальцев с когтями на передних конечностях

Для организмов какого современного класса животных, филогенетически близкого к археоптериксу, характерны перечисленные признаки:

1) признаки характерны для класса Земноводные (Амфибии)
2) признаки характерны для класса Костные рыбы
3) признаки характерны для класса Пресмыкающиеся (Рептилии)
4) признаки характерны для класса Хрящевые рыбы
5) признаки характерны для класса Бесчелюстные

25

Для инфузорий-туфелек характерен процесс конъюгации. Почему его относят к половому процессу, но не считают половым размножением? Какое значение имеет конъюгация для адаптации одноклеточных организмов? Ответ поясните.

Ответ:

Почему его относят к половому процессу, но не считают половым размножением:

1) при конъюгации происходит обмен ядрами между двумя особями с последующим их слиянием, что является половым процессом (происходит рекомбинация генетического материала)
2) конъюгация приводит к образованию новых особей
3) в процессе участвуют две особи разного пола
4) происходит слияние цитоплазмы обеих инфузорий
5) при конъюгации не увеличивается численность особей, поэтому это не размножение
6) после конъюгации каждая инфузория делится на две дочерние клетки

Какое значение имеет конъюгация для адаптации одноклеточных организмов:

1) конъюгация позволяет инфузориям быстро увеличивать численность популяции
2) процесс помогает избавиться от повреждённых органелл
3) конъюгация усиливает комбинативную изменчивость (генетическое разнообразие популяции)
4) комбинативная изменчивость повышает устойчивость вида в изменяющихся условиях среды (в результате комбинативной изменчивости появляются особи способные выживать в новых (меняющихся) условиях среды)
5) конъюгация является способом репарации ДНК
6) процесс обеспечивает обмен питательными веществами между особями

26

Каким образом обеспечивается относительное постоянство концентрации кислорода и азота в атмосфере? Укажите четыре процесса, протекающих с участием живого вещества биосферы.

Ответ:

1) кислород образуется в атмосфере в результате фотолиза воды под действием ультрафиолетового излучения
2) благодаря фотосинтезу кислород выделяется в атмосферу
3) при гниении органических остатков кислород накапливается в атмосфере
4) при дыхании (хемосинтезе) кислород поглощается из атмосферы
5) в результате азотфиксации бактериями азот поглощается из атмосферы
6) азот поглощается из атмосферы растениями напрямую через устьица
7) в результате извержения вулканов в атмосферу выделяется большое количество биогенного кислорода
8) в результате денитрификации азот выделяется в атмосферу

27

Окраска цвета у скалистых прыгунов (Chaetodipus intermedius) контролируется одним геном. Доминантные гомозиготы имеют чёрный цвет; рецессивные гомозиготы – песочный. Гетерозиготы имеют промежуточную окраску. В равновесной популяции скалистых прыгунов на 1000 особей приходится 70 песочных. Популяция попала в новые условия, в которых в результате интенсивного отлова хищниками погибло 25 % чёрных особей. Рассчитайте частоту особей с чёрной окраской и частоты аллелей в изначальной популяции, а также частоты всех фенотипов в популяции после отлова хищниками. Поясните ход решения. Ответ дайте в %, округлив до целых.

Ответ:

В изначальной популяции:

Частота чёрных особей:
%

Частота доминантного аллеля (А)
%

Частота рецессивного аллеля (а):
%

После отлова хищников (частоты фенотипов):

Чёрные:
%

Промежуточные:
%

Песочные:
%


28

При скрещивании растения кукурузы с гладкими неокрашенными семенами и растения с морщинистыми окрашенными семенами всё потомство получилось с гладкими окрашенными семенами. В анализирующем скрещивании гибридного потомства получилось четыре разные фенотипические группы: 250, 247, 103, 101. Составьте схемы скрещиваний. Определите генотипы родительских особей, а также генотипы, фенотипы и количество особей потомства каждой группы в двух скрещиваниях. Объясните формирование четырёх фенотипических групп в анализирующем скрещивании.

Ответ:

Схема решения задачи:

1)
P
AAbb
гладкие
неокрашен.
семена
×

морщин.
окрашенные
семена

F1: – гладкие окрашенные семена

2) анализирующее скрещивание:


гладкие
окрашенные
семена
×

морщин.
неокрашен.
семена

F1:

1) AAbb – гладкие неокрашенные семена: 103
2) АаВb – гладкие окрашенные семена: 103 или 101
3) Aаbb – гладкие неокрашенные семена: 250 или 247
4) AABb – гладкие окрашенные семена: 247
5) aaBb – морщинистые окрашенные семена: 247 или 250
6) aaBB – морщинистые окрашенные семена: 101
7) AaBB – гладкие окрашенные семена: 250
8) aabb – морщинистые неокрашенные семена: 101 или 103

3) объяснение:

1) Все четыре группы образовались в результате независимого комбинирования генов, а неравное соотношение – это статистическая погрешность.
2) Малочисленные группы (103 и 101) – это результат неполного доминирования по обоим признакам.
3) присутствие в потомстве двух больших фенотипических групп особей 250 (247) с гладкими неокрашенными семенами и 247 (250) с морщинистыми окрашенными семенами примерно в равных долях – это результат сцепленного наследования аллелей A и b, a и B между собой. Две другие малочисленные фенотипические группы – 103 (101) с гладкими окрашенными семенами и 101 (103) с морщинистыми неокрашенными семенами – образуются в результате кроссинговера.
4) Разное соотношение групп доказывает сцепленное наследование генов A и B, а также a и b.
5) Четыре группы появились потому, что один из родителей в анализирующем скрещивании был гетерозиготен по одной паре генов.


© «Учка.РФ», 2025-2026. Подготовка к ЕГЭ, ОГЭ и ВПР по математике, русскому языку, физике. Тренировочные варианты ЕГЭ, ОГЭ, ВПР.
Обратная связь